分體式井水流量計
點擊次數:2635 發布時間:2020-11-04 02:42:09
分體式井水流量計產品概述
電磁流量計在結構上由電磁流量傳感器和轉換器兩部分組成。傳感器安裝在工業過程管道上,它的作用是將流進管道內的液體體積流量值線性地變換成感生電勢信號,并通過傳輸線將次信號送到轉換器。轉換器安裝在離傳感器不太遠的地方,它將傳感器送來的流量信號進行放大,并轉換成與流量信號成正比的標準電信號輸出,以進行顯示,累計和調節控制。

分體式井水流量計轉換器選型注意事項
轉換器選型針對分體式電磁流量計而言,分為壁掛式或盤裝式二種,根據現場實際情況,主要考慮以下幾點。
輸出信號的選擇:
①模擬信號輸出:包括4-20mA 輸出、0-20mA 輸出、0-24mA 輸出、0-5V輸出、0-6V輸出、1-5V輸出,共6種,用戶可根據自己的需要,任選一種,切記:這6種輸出只能選取其中的一種,不能同時選取二種輸出。
數字通訊:RS485輸出。詳細參數見說明書。
頻率/脈沖輸出:該脈沖輸出類型可由用戶定義,一種可定義為量程對應1KHz頻率,量程內流量對應的頻率按比例減小;另一種可定義為一個脈沖代表一定(1.0m3、0.1m3 、0.01m3 三種)的累計流量。詳細情況見說明書。
工作環境
②工作環境溫度:-10℃-+55℃;
分體式井水流量計傳感器選型
傳感器的選型主要考慮因素有:傳感器的種類、口徑、壓力、電極材料、內襯材料、防護等級、尺寸大小、連接法蘭等。
①口徑的選擇:如果是新建的項目或設計,在選擇口徑時,應遵循的原則就是:保證正常流速在0.3m/s---10m/s范圍內即可,*優選擇是正常流量在下面的《口徑、流速、流量的關系表》的斜體紅色數值范圍內。當然,新工程剛上馬,系統流速處于較低狀態,隨著系統的正常運行,流速會處于較高狀態,這時只要更改現場儀表的量程就能適應,不需要更換儀表。如果現場流速過低,而且現場條件允許的話,可以通過在傳感器的前后加裝變徑管,以滿足要求,加裝變徑管應注意以下問題:
*一,為了加裝變徑管后不過多影響流速場的分布,不影響儀表的測量精度,能把變徑管視為直管段的一部分,要求變徑管的中心錐角α不大于15°,越小越好。
分體式井水流量計選型
正確地選用電磁流量計是保證用好電磁流量計的前提條件。選用什么種類的電磁流量計應根據被測流體介質的物理性質和化學性質來決定,使電磁流量計的通徑、流量范圍、襯里材料、電極材料和輸出電流等,都能適應被測流體的性質和流量的要求。
電磁流量計可測量的流體常見介質電導率表
由電磁流量計的工作原理可知,能選用電磁流量計測量流量的流體必須是導電的,嚴格的說,除了高溫流體之外,只要電導率大于5μ/cm的任何流體都可以選用相應的電磁流量計來測量流量,因此不導電的氣體、蒸汽、油類、丙酮等物質不能選用電磁流量計來測量流量。
傳感器口徑的確定
流量計使用流速*好在0.1~15m/s范圍內,此時流量計口徑可選擇與用戶管道口徑一致。當流速低于0.1m/s時,應采用縮管方式提高流速。

一體型或分離型的選擇
一體型:現場環境較好的情況下,一般都選用一體型,即傳感器和轉換器組裝成一體。
分離型:即傳感器和轉換器分開裝于不同的地點,一般出現以下情況時選用分離型:
⑴ 環境溫度或流量計轉換器表面受輻射溫度超過60oC.
⑵ 管道震動較大的場合。
⑶ 會對傳感器的鋁殼嚴重腐蝕的場合。
⑷ 現場溫度較高或有腐蝕性氣體的場合。
⑸ 流量計裝在高空或井下等調試不方便的場合。
訂貨時應注明傳感器和轉換器之間的距離,一般不能超過100m,轉換器為墻掛式安裝。
分體式井水流量計工作原理
傳感器是根據法拉*電磁感應定律工作的,如工作原理圖所示:

當導電液體沿測量管在交變磁場與磁力線成垂直方向運動時,導電液體切割磁力線產生感應電勢。在與測量管軸線和磁力線相互垂直的管壁上安裝了一對檢測電極,將這個感應電勢檢出。
則有:
E=BVD
式中:E—感應電勢;
B—磁感應強度;
D —電極間的距離,與測量管內徑相等;
V —測量管內被測流體的平均流速。
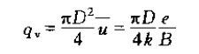
式(1)中磁場B是恒定不變的,D為一常數,則感應電動勢E與被測流體的平均流速V成正比。通過測量管橫截面上的瞬時體積流量Q與流速V之間的關系為:

分體式井水流量計特點
1、管道內無可動部件,無阻流部件,測量中幾乎沒有附加壓力損失。
2、測量結果與流速分布、流體壓力、溫度、密度、粘度等物理參數無關。
3、在現場可根據用戶實際需要在線修改量程。
4、高清晰度背光LCD顯示,全中文菜單操作,使用方便,操作簡單,易學易懂。
5、采用SMD器件和表面貼裝(SMT),電路可靠性高。
6、采用16位嵌入式微處理器,運算速度快,精度高,可編程頻率低頻矩形波勵磁,提高了流量測量的穩定性,功耗低。
7、全數字量處理,抗干擾能力強,測量可靠,精度高,流量測量范圍可達150:1。
8、超低EMI開關電源,使用電源電壓變化范圍大,抗EMC好
9、內部具有三個積算器,可分別顯示正向累計量、反向累計量及差值積算量,內部設有不掉電時鐘,可記錄16次掉電時間(選配)。
10、具有RS485、RS232、Hart和Modbus等數字通訊信號輸出(選配)。
11、具有自檢與自論斷功能。
12、紅外手持操作器,115KHZ通訊速率,遠距離非接觸操作轉換器所有功能(選配)。
13、小時總量記錄功能,以小時為單位記錄流量總量,適用于分時計量制(選配)。
測井小管徑井水流量計T型磁芯的設計應用
深井水流量計算環節對于流量計特點分析與選型要點
在極端條件下深井水流量計應配備隔膜密封
礦井水流量計的襯里與電極產品型號的選擇
dn150深井水流量計在不同溫度下的特性變化研究
影響井水流量計誤差的因素及不確定度分析
因環境方面引起的礦井水流量計故障的主要原因
分體式井水流量計在供水行業貿易結算計量應用
深井水流量計在纖維素浸漬工藝中的應用
井水流量計的工作原理與應用案例分析
dn150深井水流量計,分體式井水流量計
深井水流量計,分體式井水流量計
dn150深井水流量計
深井水流量計,dn150深井水流量計
關于礦井水專用流量計產品特點及應用維護的簡要介紹
淺析深井水管道流量計在測量中誤差分析與相應的解決方案
礦井水流量計,深井水流量計
礦井水流量計價錢,礦井水流量計廠家
礦井水流量計
分體式井水流量計
礦井水流量計價錢
礦井水流量計廠家
礦井水流量計,礦井水流量計價錢
礦井水流量計,礦井水流量計廠家
井水流量計原理及測量深水井中的應用
電磁流量計在結構上由電磁流量傳感器和轉換器兩部分組成。傳感器安裝在工業過程管道上,它的作用是將流進管道內的液體體積流量值線性地變換成感生電勢信號,并通過傳輸線將次信號送到轉換器。轉換器安裝在離傳感器不太遠的地方,它將傳感器送來的流量信號進行放大,并轉換成與流量信號成正比的標準電信號輸出,以進行顯示,累計和調節控制。

分體式井水流量計轉換器選型注意事項
轉換器選型針對分體式電磁流量計而言,分為壁掛式或盤裝式二種,根據現場實際情況,主要考慮以下幾點。
輸出信號的選擇:
①模擬信號輸出:包括4-20mA 輸出、0-20mA 輸出、0-24mA 輸出、0-5V輸出、0-6V輸出、1-5V輸出,共6種,用戶可根據自己的需要,任選一種,切記:這6種輸出只能選取其中的一種,不能同時選取二種輸出。
數字通訊:RS485輸出。詳細參數見說明書。
頻率/脈沖輸出:該脈沖輸出類型可由用戶定義,一種可定義為量程對應1KHz頻率,量程內流量對應的頻率按比例減小;另一種可定義為一個脈沖代表一定(1.0m3、0.1m3 、0.01m3 三種)的累計流量。詳細情況見說明書。
工作環境
②工作環境溫度:-10℃-+55℃;
分體式井水流量計傳感器選型
傳感器的選型主要考慮因素有:傳感器的種類、口徑、壓力、電極材料、內襯材料、防護等級、尺寸大小、連接法蘭等。
①口徑的選擇:如果是新建的項目或設計,在選擇口徑時,應遵循的原則就是:保證正常流速在0.3m/s---10m/s范圍內即可,*優選擇是正常流量在下面的《口徑、流速、流量的關系表》的斜體紅色數值范圍內。當然,新工程剛上馬,系統流速處于較低狀態,隨著系統的正常運行,流速會處于較高狀態,這時只要更改現場儀表的量程就能適應,不需要更換儀表。如果現場流速過低,而且現場條件允許的話,可以通過在傳感器的前后加裝變徑管,以滿足要求,加裝變徑管應注意以下問題:
*一,為了加裝變徑管后不過多影響流速場的分布,不影響儀表的測量精度,能把變徑管視為直管段的一部分,要求變徑管的中心錐角α不大于15°,越小越好。
分體式井水流量計選型
正確地選用電磁流量計是保證用好電磁流量計的前提條件。選用什么種類的電磁流量計應根據被測流體介質的物理性質和化學性質來決定,使電磁流量計的通徑、流量范圍、襯里材料、電極材料和輸出電流等,都能適應被測流體的性質和流量的要求。
電磁流量計可測量的流體常見介質電導率表
| 液 體 | 電導率(μs/cm) |
| 各 種 酸 | 10×104~801×104 |
| 堿 液 | 8×104 ~30×104 |
| 蒸 餾 水 | 0.01~5 |
| 水及飲料 | 200~800 |
| 啤 酒 | 600~800 |
| 麥 芽 汁 | 500~1000 |
| 牛 奶 | 200~300 |
| 水 果 醬 | 400~1000 |
傳感器口徑的確定
流量計使用流速*好在0.1~15m/s范圍內,此時流量計口徑可選擇與用戶管道口徑一致。當流速低于0.1m/s時,應采用縮管方式提高流速。

一體型或分離型的選擇
一體型:現場環境較好的情況下,一般都選用一體型,即傳感器和轉換器組裝成一體。
分離型:即傳感器和轉換器分開裝于不同的地點,一般出現以下情況時選用分離型:
⑴ 環境溫度或流量計轉換器表面受輻射溫度超過60oC.
⑵ 管道震動較大的場合。
⑶ 會對傳感器的鋁殼嚴重腐蝕的場合。
⑷ 現場溫度較高或有腐蝕性氣體的場合。
⑸ 流量計裝在高空或井下等調試不方便的場合。
訂貨時應注明傳感器和轉換器之間的距離,一般不能超過100m,轉換器為墻掛式安裝。
分體式井水流量計工作原理
傳感器是根據法拉*電磁感應定律工作的,如工作原理圖所示:

當導電液體沿測量管在交變磁場與磁力線成垂直方向運動時,導電液體切割磁力線產生感應電勢。在與測量管軸線和磁力線相互垂直的管壁上安裝了一對檢測電極,將這個感應電勢檢出。
則有:
E=BVD
式中:E—感應電勢;
B—磁感應強度;
D —電極間的距離,與測量管內徑相等;
V —測量管內被測流體的平均流速。
式(1)中磁場B是恒定不變的,D為一常數,則感應電動勢E與被測流體的平均流速V成正比。通過測量管橫截面上的瞬時體積流量Q與流速V之間的關系為:

分體式井水流量計特點
1、管道內無可動部件,無阻流部件,測量中幾乎沒有附加壓力損失。
2、測量結果與流速分布、流體壓力、溫度、密度、粘度等物理參數無關。
3、在現場可根據用戶實際需要在線修改量程。
4、高清晰度背光LCD顯示,全中文菜單操作,使用方便,操作簡單,易學易懂。
5、采用SMD器件和表面貼裝(SMT),電路可靠性高。
6、采用16位嵌入式微處理器,運算速度快,精度高,可編程頻率低頻矩形波勵磁,提高了流量測量的穩定性,功耗低。
7、全數字量處理,抗干擾能力強,測量可靠,精度高,流量測量范圍可達150:1。
8、超低EMI開關電源,使用電源電壓變化范圍大,抗EMC好
9、內部具有三個積算器,可分別顯示正向累計量、反向累計量及差值積算量,內部設有不掉電時鐘,可記錄16次掉電時間(選配)。
10、具有RS485、RS232、Hart和Modbus等數字通訊信號輸出(選配)。
11、具有自檢與自論斷功能。
12、紅外手持操作器,115KHZ通訊速率,遠距離非接觸操作轉換器所有功能(選配)。
13、小時總量記錄功能,以小時為單位記錄流量總量,適用于分時計量制(選配)。
下一篇:礦井水流量計價錢


